Calculation Of Installment Of Loan

Calculation Of Installment Of Loan.

Calculating Loan Payments for a Mortgage - YouTube
Calculating Loan Payments for a Mortgage - YouTube, image source

Installment Loan Payoff Calculator
Installment Loan Payoff Calculator
Visit Source

How to Calculate Mortgage Monthly Payment using Excel ...
How to Calculate Mortgage Monthly Payment using Excel ...
Visit Source

3 Ways to Calculate an Installment Loan Payment - wikiHow
3 Ways to Calculate an Installment Loan Payment - wikiHow
Visit Source

Calculating Loan Payments for a Mortgage - YouTube
Calculating Loan Payments for a Mortgage - YouTube
Visit Source

How is interest calculated on federal student loans? - Quora
How is interest calculated on federal student loans? - Quora
Visit Source

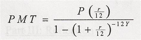
Math 1050 - Mortgage Project | Matthew Van Rij SLCC E ...
Math 1050 - Mortgage Project | Matthew Van Rij SLCC E ...
Visit Source

Loan Calculator (Installment) - Android Apps on Google Play
Loan Calculator (Installment) - Android Apps on Google Play
Visit Source

estimate car payments - DriverLayer Search Engine
estimate car payments - DriverLayer Search Engine
Visit Source

How to calculate loan payments in Excel | lynda.com ...
How to calculate loan payments in Excel | lynda.com ...
Visit Source

How to Determine the Down Payment on a Car | YourMechanic ...
How to Determine the Down Payment on a Car | YourMechanic ...
Visit Source